Skip to content
Pandas edited this page Apr 23, 2017 · 4 revisions

Task 1

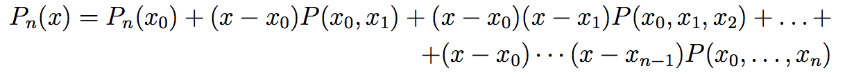
Newton polynomial

Newton interpolation polynomial: Imgur

Where Imgur — a divided difference.

Input data:

  • Table of y(x);
  • Degree of polynomial;
  • Values of X.

Is necessary to obtain:

  • Interpolation function output;
  • Exact value;
  • Interpolation error. (As it turned out, it is not necessary)

To calculate the error of a function, which is represented by Newton polynomial: Imgur

Estimation of the polynomial interpolation error for the above given formula is called a priori.

It allows you to identify factors that determine the accuracy: steepness of function and configuration of the nodes (In the center - more precisely).

Task 2

Inverse Interpolation

Description:

We use inverse interpolation to solve a system of transcendental equations with two variables.
Nobody does this. Generally use Taylor series to solve similar problems. 

Main idea:

We rearrange the columns of x and y values and interpolate transformed table using Newton polynomial.

Task 3

Spline interpolation

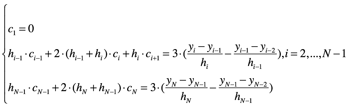
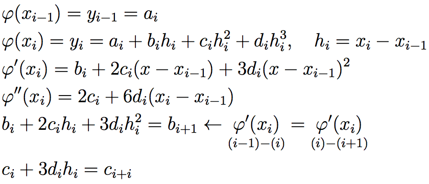
A cubic spline is a curve consisting of "docked" polynomials of the third degree Imgur. At the docking points, values and derivatives of two neighboring polynomials are equal.

Imgur Imgur Imgur

A system of equations for determination of Imgur:

Imgur

The above system of linear algebraic equations is solved by the sweep method. We find an array Imgur.

With Imgur found, the remaining coefficients are determined by the formulas: Imgur

Main idea

  1. Building a table;
  2. Set value of x;
  3. Find the k-th interval, which includes x;
  4. Imgur
  5. Output the result y.

About The Sweep Method

It is based on use of canonical form of a system of linear algebraic equations with a tridiagonal matrix.

The sweep method is performed in 2 stages:

  1. Trace: by the means of the formulae for given initial coefficients Imgur, we find all the sweep coefficients

Imgur

  1. Backtrace: with a known value of Imgur we determine all Imgur - back stroke by formulae:

Imgur

Task 4

TODO

Prepared by @gofixyourself

Clone this wiki locally